对于一个链表,C++的定义如下:

1
2
3
4
5
6
7
struct ListNode {
int val;
ListNode *next;
ListNode() : val(0), next(nullptr) {}
ListNode(int x) : val(x), next(nullptr) {}
ListNode(int x, ListNode *next) : val(x), next(next) {}
};

  链表结构可由下表征:

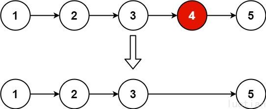
力扣 203

  移除链表元素
  这个题由于涉及到头节点的变动,因此可以先设置一个空的前置节点dummy,然后将dummy指向head。为了对dummy的指针指向进行保留,这里复制一个指针temp = dummy。接下来是两种情况,当temp->next->val == val,那么temp->next = temp->next->next。否则temp指针移动,temp = temp->next。

1
2
3
4
5
6
7
8
9
10
11
12
13
14
15
16
17
ListNode* removeElements(ListNode* head, int val)
{
struct ListNode* dummy = new ListNode(0, head);
struct ListNode* temp = dummy;
while(temp->next != NULL)
{
if(temp->next->val == val)
{
temp->next = temp->next->next;
}
else
{
temp = temp->next;
}
}
return dummy->next;
}

时间复杂度为$\small{O(n)}$,空间复杂度为$\small{O(1)}$。

力扣 707

  设计链表

1
2
3
4
5
6
7
8
9
10
11
12
13
14
15
16
17
18
19
20
21
22
23
24
25
26
27
28
29
30
31
32
33
34
35
36
37
38
39
40
41
42
43
44
45
46
47
48
49
50
51
52
53
54
55
56
57
58
59
60
61
62
63
64
65
66
67
68
69
70
71
72
73
74
75
76
77
78
class MyLinkedList {
public:
// 初始化链表,大小为 0 ,头结点的值为 0
// this指针用于访问类的成员变量和成员函数
MyLinkedList() {
this->head = new ListNode(0);
this->size = 0;
}
// 获得指定节点的值
int get(int index) {
// 这里 >= size 是因为元节点的下标是 0,末尾节点的下标是 size - 1
if (index < 0 || index >= size) {
return -1;
}
// 定义一个指针 cur 指向头结点,这样不会改变head中的值
ListNode* cur = head;
// 遍历链表,直到遍历下标为 index 的节点
for (int i = 0; i <= index; i++)
{
cur = cur->next;
}
return cur->val;
}
// 在 0 位置添加节点,就相当于在头部添加节点
void addAtHead(int val) {
addAtIndex(0, val);
}
// 在 size 位置添加节点,就相当于在末尾添加节点
void addAtTail(int val) {
addAtIndex(size, val);
}
// 在index处添加节点
void addAtIndex(int index, int val) {
// 如果 index 大于 size,则不添加节点
if (index > size)
return;
// 如果 index 小于 0,则将 index 置为 0
index = max(0, index);
// 添加节点,size++
size++;
ListNode* temp = head;
// 定位到 index 前一个节点
for (int i = 0; i < index; i++)
{
temp = temp->next;
}
// 添加新的节点
ListNode* NewNode = new ListNode(val);
// 插入新的节点
NewNode->next = temp->next;
temp->next = NewNode;
}
void deleteAtIndex(int index) {
//这里取 >= 是因为元节点下标是 0
if (index < 0 || index >= size)
return;
size--;
ListNode* temp = head;
for (int i = 0; i < index; i++)
{
temp = temp->next;
}
ListNode* p = temp->next;
temp->next = temp->next->next;
// 释放被删除节点的内存
delete p;
}
private:
struct ListNode {
int val;
ListNode* next;
ListNode() : val(0), next(nullptr) {}
ListNode(int x) : val(x), next(nullptr) {}
ListNode(int x, ListNode* next) : val(x), next(next) {}
};
int size;
ListNode* head;
};

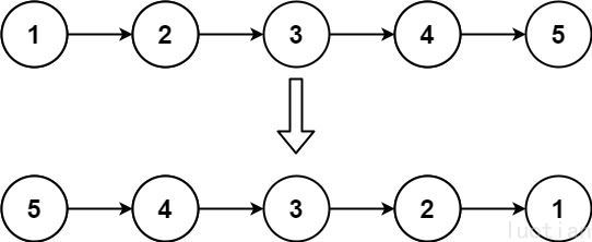
力扣 206

  反转链表
  这个题可以用双指针的解法。设定慢指针 slow = NULL,快指针 fast = head。现在开始遍历。设置temp = fast->head,保存fast的下一个节点。这里为了反转链表,需要将fast->next指向上一个节点slow,因此有fast->next = slow。现在反转了链表。开始移动fast和slow指针。这里先移动slow指针,由于现在slow已经完成任务,slow需要向右移动一位,也就是slow = fast。然后fast也向右移动一位,也就是fast = temp。这一轮的反转就完成了。
  由于fast比slow快一格,而题目要求要返回反转后的头节点,所以fast要遍历到原链表的NULL处。

1
2
3
4
5
6
7
8
9
10
11
12
13
ListNode* reverseList(ListNode* head)
{
ListNode* slow = NULL;
ListNode* fast = head;
while(fast != NULL)
{
ListNode* temp = fast->next;
fast->next = slow;
slow = fast;
fast = temp;
}
return slow;
}

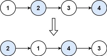
力扣 24

  两两交换链表中的节点
  这个题说了两两交换,那么只研究前两个节点之间的连接关系就行。为了让节点访问更方便,还是要在链表前插入一个虚拟头节点dummy。那么对于dummy和node1和node2,两两交换就是将节点dummy->node1->node2变成dummy->node2->node1,其他两两节点可依此类推。设定节点temp = dummy,想完成交换,首先让temp -> node2,然后node1 -> node3,最后node2 -> node1。然后更新temp向右移动两个节点,也就是temp = node1(此时node1已经成为了链表中第二个节点),开始下一轮循环。循环的终止条件需要注意,要把temp->next != NULL放在前面,不然如果temp->next == NULL,temp->next->next就是非法访问,会编译出错。

1
2
3
4
5
6
7
8
9
10
11
12
13
14
15
16
17
18
19
20
21
22
23
24
25
ListNode* swapPairs(ListNode* head)
{
// 节点 0
ListNode* dummy = new ListNode(0, head);
ListNode* temp = dummy;
// 第一个说明当链表是偶数个节点,第二个说明当链表是奇数个节点
while(temp->next != NULL && temp->next->next != NULL)
{
//节点 1
ListNode* node1 = temp->next;
//节点 2
ListNode* node2 = temp->next->next;
//节点 dummy -> 节点 2
temp->next = node2;
//节点 1 -> 节点 3
node1->next = node2->next;
//节点 2 -> 节点 1
node2->next = node1;
//节点 temp = 节点 1 (步进两个节点)
temp = node1;
}
ListNode* res = dummy->next;
delete dummy;
return res;
}

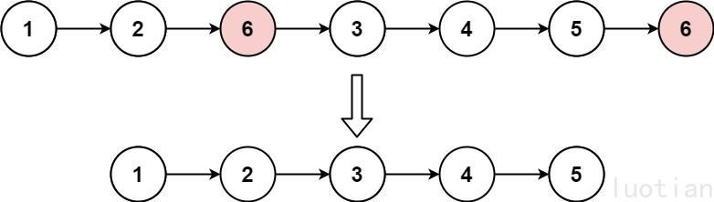
力扣 19

  删除链表倒数第N个节点
  这个题乍一看需要遍历两遍链表,第一遍遍历得到链表的大小,第二遍遍历得到需要删除的元素的位置。不过可以换个思路,将两个遍历合并成一个。这里需要用到双指针的策略。首先定义fast和slow指针,刚开始先移动fast指针,让fast和slow的距离为n个节点。然后开始同步移动fast和slow,当fast的下一位是NULL时,此时slow的下一位就是要删除的节点,这个时候就只需要slow->next = slow->next->next即可删除节点。

1
2
3
4
5
6
7
8
9
10
11
12
13
14
15
16
17
18
19
20
21
22
23
24
25
26
27
28
29
30
31
32
33
34
35
36
37
38
ListNode* removeNthFromEnd(ListNode* head, int n)
{
// 定义快慢指针
ListNode* fast = new ListNode(0, head);
ListNode* slow = fast;
// 定义临时头节点
ListNode* dummy = fast;
// 如果 n <= 0 无效
if(n <= 0)
{
return dummy->next;
}
// 开始移动 fast 指针,当移动 n 步后停止
for(int count = 1; count <= n; count++)
{
if(fast->next != NULL)
{
fast = fast->next;
}
// 如果 fast 下一位为空但是遍历次数还没达到 n 次说明 n 的大小超过链表大小,访问无效
else if(count < n)
{
return slow->next;
}
}
// 开始同步移动 fast 和 slow,如果 fast 的下一位为 NULL,说明到了链表末尾。此时 slow 的下一位就是要删除的节点
while(fast->next != NULL)
{
fast = fast->next;
slow = slow->next;
}
// 删除节点
ListNode* temp = slow->next;
slow->next = slow->next->next;
delete temp;
// 返回链表头节点
return dummy->next;
}

  时间复杂度为$\small{O(L)}$,$\small{L}$为链表长度。空间复杂度为$\small{O(1)}$。

力扣 142

  环形链表Ⅱ
  判断链表中有没有环,可以近似成操场跑圈的相遇问题。假设有两个人同时起跑,一个人快,一个人慢,那么经过一段时间,他们一定可以在操场上的某个位置相遇。那么对于这个题目,定义一个快指针 fast 和一个慢指针 slow ,慢指针每次移动一格,快指针每次移动两格,如果链表存在环,他们必定会在环中相遇,如果链表不存在环,他们不可能相遇。
  解决了链表中是否有环的问题,接下来解决如何找到环的入口。定义进入环之前的路程为$\small{a}$,slow 进入环后走了$\small{b}$路程和 fast 相遇,环的路程为$\small{b+c}$,那么可以得知在 slow 进入环前 fast 已经在环内行走了$\small{n(b+c)}$的路程,其中有$\small{n\geqslant 1,n\in \mathbf{N}_+}$。根据上面的条件,列出等式:

  化简后得:

  这表明 slow 走过$\small{n-1}$个完整的环后,再走过路程$\small{c}$必定和路程$\small{a}$相等。因此定义一个新的指针 index = head,index 和 slow 每次步进1个节点,那么相遇的节点就是环的入口。

1
2
3
4
5
6
7
8
9
10
11
12
13
14
15
16
17
18
19
20
21
22
23
24
25
ListNode *detectCycle(ListNode *head)
{
ListNode* fast = new ListNode(0, head);
ListNode* slow = fast;
// 这里要确保fast接下来的两个节点都不为空
while(fast->next != NULL && fast->next->next != NULL)
{
// 这里要先进行指针移动,否则初始条件下 fast == slow 会出问题
fast = fast->next->next;
slow = slow->next;
if(fast->next == slow->next)
{
ListNode* index = head;
slow = slow->next;
while(index != slow)
{
index = index->next;
slow = slow->next;
}
return index;
}
}
// 链表没有环,返回空指针
return nullptr;
}

力扣 15

  三数之和
  这个题用哈希表做会变得非常麻烦,还是得用双指针的方法。设定 i、left、right 分别对应三个数的元素下标,取值为:

1
2
3
int i = 0; i < nums.size();
int left = i + 1;
int right = nums.size() - 1;

  这里没有说返回的数组是有序的,那么可以先对数组从小到大进行排序,然后再遍历数组,这样做是因为三数相加为0,也就是$\small{a+b+c=0}$,$\small{a\leqslant b\leqslant c}$。那么一定有$\small{a\leqslant 0}$,因此有了第一个判断条件,如果nums[i] > 0,直接返回结果,不用再遍历了。
  然后对$\small{a}$进行去重,为了说明去重的必要性,举例[-1, -1, -1, 0, 1],可以看到结果是[-1, 0, 1],但是-1会有多个不同的取值。在这里就需要判断,如果当 i 元素和 i - 1 元素值相同,那么就跳过此轮遍历。
  然后添加while循环,判断三数之和是否为 0,如果大于 0,说明nums[right]太大了,将right- -,如果小于 0,说明nums[left]太小了,将left++。如果三数之和等于 0,那么就保存 i、left、right 对应元素值。
  这个时候我们还要注意,如果有这样的情况[-1, -1, 0, 0, 1, 1],多个 left 和 right 满足要求,就需要对 left 和 right 进行去重。在等于 0 的判断下,添加while循环,当 right 和 right - 1 元素相等,right- -,当 left 和 left + 1 元素相等,left++。这里注意无论是否进入去重的while循环,最后都要更新right和left。
  所有while循环都要加上 right > left 条件防止出错。

1
2
3
4
5
6
7
8
9
10
11
12
13
14
15
16
17
18
19
20
21
22
23
24
25
26
27
28
vector<vector<int>> threeSum(vector<int>& nums)
{
vector<vector<int>> res;
sort(nums.begin(), nums.end());
for(int i = 0; i < nums.size(); i++)
{
if(nums[i] > 0)
return res;
if(i > 0 && nums[i] == nums[i - 1])
continue;
int left = i + 1;
int right = nums.size() - 1;
while(right > left)
{
if(nums[i] + nums[left] + nums[right] > 0) right--;
else if(nums[i] + nums[left] + nums[right] < 0) left++;
else
{
res.push_back(vector<int>{nums[i], nums[left], nums[right]});
while(right > left && nums[right] == nums[right - 1]) right--;
while(right > left && nums[left] == nums[left + 1]) left++;
right--;
left++;
}
}
}
return res;
}

时间复杂度是$\small{O(N^2)}$。

力扣 18

  四数之和
  这个题目和三数之和原理一致,也是使用双指针的方法,不过由于这个题目是4数相加,而且target是任意值,在去重方面还是有些不一致。

1
2
3
4
5
6
7
8
9
10
11
12
13
14
15
16
17
18
19
20
21
22
23
24
25
26
27
28
29
30
31
32
33
34
35
36
37
38
39
vector<vector<int>> fourSum(vector<int>& nums, int target)
{
vector<vector<int>> res;
sort(nums.begin(), nums.end());
for(int k = 0; k < nums.size(); k++)
{
// 第一次剪枝
if(nums[k] > target && (nums[k] >= 0 || target >= 0))
break;// 终止循环
// 对 k 去重,原理和上一题 i 去重一样
if(k > 0 && nums[k] == nums[k - 1]) continue;
for(int i = k + 1; i < nums.size(); i++)
{
// 第二次剪枝
// 如果前两数大于 target,且 nums[i] 大于 0,后面的数再加一定大于零,直接终止循环
if(nums[k] + nums[i] > target && nums[i] >= 0) break;
// 对 i 去重,原理和上一题 i 去重一样
if(nums[i] == nums[i - 1] && i > k + 1) continue;
// 下面代码逻辑不变
int left = i + 1;
int right = nums.size() - 1;
while(right > left)
{
// 要转成long,不然会溢出
if((long)nums[k] + nums[i] + nums[left] + nums[right] > target) right--;
else if((long)nums[k] + nums[i] + nums[left] + nums[right] < target) left++;
else
{
res.push_back(vector<int>{nums[k], nums[i], nums[left], nums[right]});
while(right > left && nums[right] == nums[right - 1]) right--;
while(right > left && nums[left] == nums[left + 1]) left++;
right--;
left++;
}
}
}
}
return res;
}